Effects of breathing and imagery exercises on postural sway and shooting performance in Olympic archers

CANSU KESKİN1, AYŞE NUR TUNALI VAN DEN BERG2

1Istanbul Medipol University Institute of Health Sciences, Department of Physiotherapy and Rehabilitation, Istanbul, Türkiye; Sakarya University of Applied Sciences, Akyazı Vocational School of Health Services, Sakarya, Turkey; 2Istanbul Medipol University, Faculty of Health Sciences, Physiotherapy and Rehabilitation Department, Istanbul, Türkiye.

Summary. Background. Maintaining a stable stance and correct body alignment is fundamental for archery performance. Internal factors including postural control, reaction time, strength, attention, and psychological state, along with external influences, affect shooting outcomes. Breathing control and visualization are proposed as supportive strategies to enhance concentration, stability, and motor performance. This study investigated the effects of visualization and breathing exercises, combined with an 8-week archery program, on target score, postural sway, respiratory function, attention, handgrip strength, and imagery skills in young athletes. Methods. Thirty-six novice archers (aged 14-18) were randomly assigned to respiratory exercise (RG), imagery exercise (IG), or control (CG) groups. Assessments included spirometry for respiratory function, Sway Medical Balance App for postural control, Mental Training Inventory for imagery, Burdon Test for attention, Human Benchmark for reaction time, Jamar dynamometer for grip strength, and FITA-based target shooting scores. Results. Both RG and IG showed significant improvements in target scores, FVC, FEV₁, postural sway, attention, reaction time, and handgrip strength. The CG improved in attention, FEV₁, and grip strength. Between-group comparisons favored RG and IG, especially for shooting performance and respiratory outcomes. Conclusions. Structured breathing and visualization exercises enhanced both physiological and psychological outcomes in young archers, supporting their integration into training to optimize performance.

Key words. Archery, breathing exercises, mental imagery, postural balance, cognition.

Effetti degli esercizi di respirazione e di immaginazione sull’oscillazione posturale e sulle prestazioni di tiro negli arcieri olimpici

Riassunto. Background. Mantenere una posizione stabile e un corretto allineamento del corpo è fondamentale per le prestazioni nel tiro con l’arco. Fattori interni quali il controllo posturale, il tempo di reazione, la forza, l’attenzione e lo stato psicologico, insieme a influenze esterne, incidono sui risultati del tiro. Il controllo della respirazione e la visualizzazione sono proposti come strategie di supporto per migliorare la concentrazione, la stabilità e le prestazioni motorie. Questo studio ha esaminato gli effetti degli esercizi di visualizzazione e respirazione, combinati con un programma di tiro con l’arco di 8 settimane, sul punteggio ottenuto, sull’oscillazione posturale, sulla funzione respiratoria, sull’attenzione, sulla forza di presa e sulle capacità di immaginazione in giovani atleti. Metodi. Trentasei arcieri principianti (di età compresa tra 14 e 18 anni) sono stati assegnati in modo casuale a gruppi di esercizi respiratori (RG), esercizi di immaginazione (IG) o di controllo (CG). Le valutazioni includevano la spirometria per la funzione respiratoria, l’app Sway Medical Balance per il controllo posturale, il Mental Training Inventory per l’immaginazione, il Burdon Test per l’attenzione, l’Human Benchmark per il tempo di reazione, il dinamometro Jamar per la forza di presa e i punteggi di tiro al bersaglio basati sulla FITA. Risultati. Sia il RG che l’IG hanno mostrato miglioramenti significativi nei punteggi al bersaglio, nella FVC, nella FEV₁, nell’oscillazione posturale, nell’attenzione, nei tempi di reazione e nella forza di presa. Il CG ha migliorato l’attenzione, la FEV₁ e la forza di presa. I confronti tra i gruppi hanno favorito il RG e l’IG, in particolare per quanto riguarda le prestazioni di tiro e i risultati respiratori. Conclusioni. Gli esercizi di respirazione strutturata e visualizzazione hanno migliorato i risultati sia fisiologici che psicologici nei giovani arcieri, favorendone l’integrazione nell’allenamento per ottimizzare le prestazioni.

Parole chiave. Tiro con l’arco, esercizi di respirazione, immagini mentali, equilibrio posturale, cognizione.

Introduction

Maintaining a stable stance and correct body alignment is crucial for success in archery. Factors affecting shooting performance are examined in two groups: internal and external1. Internal factors include static balance, postural control, reaction time, upper extremity strength, concentration, attention, and psychological state. Impairments in these factors can increase postural sway, leading to low-scoring shots2. Additionally, maintaining a fixed position for long periods during training and competition puts stress on the cardiovascular system; cardiovascular endurance levels affect hand-eye coordination and shooting performance3.

Postural control refers to the process of regulating posture and balance in the body. Heart rate, blood pressure, and respiration are reported to affect postural sway; while standing, it is also reported to be affected by psychological stress via the sympathetic nervous system. A decrease in chest cage movements during breathing reduces postural sway4. Minimizing postural movements during the aiming phase supports shooting accuracy by increasing consistency in the push-pull cycle5.

Reaction time and visual memory are fundamental indicators reflecting the flexibility of neural activity in the brain6. Exercise has been reported to enhance brain plasticity by increasing brain endothelial cell proliferation and angiogenesis; it supports hippocampal cell proliferation and improves memory functions7. These findings indicate that the relationship between cognitive capacity and motor performance should be considered in understanding athletic success.

In sports such as archery, badminton, wrestling, tennis, handball, and judo, where the hands are actively used, sufficient hand dexterity and strength play a decisive role in performance8. There is a close relationship between voluntary breathing and the motor movements of the hand muscles. Furthermore, the non-pharmacological effects of voluntary breathing exercises on sympathetic-vagal tone improve cardiovascular function9.

Archery is a sport that requires high concentration and stability; it involves mental training as well as physical and technical training. Visualization is defined as the process of consciously performing mental imagery10. Research shows that when individuals engage in visualization, the cortex interprets these images in a similar way to real stimuli11. thletes can better control themselves and improve their performance during competitions or under pressure through visualization practice12. Visualization is a method that helps balance a person’s physical, emotional, and mental state. Similarly, pranayama is a practice used to train attention and increase consciousness, contributing to more conscious control of mental processes13.

Changes in breathing rate and rhythm become apparent during periods of intense concentration and challenging tasks14. An increase in respiratory rate makes it difficult to achieve high-scoring shots by increasing the movement of the pushing hand in the shooting position. For this reason, archers are often advised to hold their breath during half-breath in–half-breath out or so-called breath holds. Consistently applying breath control in every shot supports consistency and performance10.

Technological advances and changing perspectives directly affect athletes’ performance and competition. In a globalizing world, sporting achievements are also linked to economic and political power. Countries must turn to scientific research to realize the Olympic philosophy of Citius-Altius-Fortius (Faster, Higher, Stronger). Such research is also increasing in the field of archery15. Based on this information, the aim of this study is to examine the effect of visualization and breathing exercises applied in addition to an 8-week archery training program on target score, postural sway, attention, hand grip strength, level of visualization, and respiratory function parameters.

Meterials and methods

The study population consisted of young athletes aged 14-18. The sample size was calculated using the G*Power 3.1.9.7 software, referencing the study by Yachsie et al. (2023). The Type I error rate was set at 5%, the effect size at 0.25, and the test power at 80%; based on the F-test, a minimum of 33 participants was determined to be necessary. Considering a 10% risk of dropout, the target sample size for the study was planned to be 36 participants.

Inclusion criteria:

• Having signed the informed consent form,

• Passing the Kinetic Chain Upper Extremity Stability Test (UEST),

• Passing the Upper Quarter Y Balance Test (YBT-UE),

• Actively participating in archery as a sport.

Exclusion criteria:

• Musculoskeletal disorder,

• History of neurological or vestibular disease,

• Pulmonary disease,

• Hearing loss,

• Previous orthopedic surgery (figure 1).




Prior to the main trial, a pilot study was conducted with a small sample of novice archers to evaluate the feasibility of the protocol and the applicability of the measurement tools. The pilot results confirmed the suitability of the training program and guided minor adjustments in test procedures, ensuring that the methodology of the present study was both practical and reliable.

Measurement Tools

Participants must pass the following two field tests to minimize the risk of injury during training sessions16.

Upper Extremity Stability Test (UEST): participants perform as many touches as possible with the opposite hand in the push-up position within 15 seconds. The first test is a trial run, and the subsequent three tests are for evaluation purposes17.

Upper Extremity Y Balance Test (YBT-UE): the participant’s upper extremity stabilization and asymmetries are evaluated. The test is used to predict upper extremity injuries18.

Participants’ age, gender, height, weight, hand preference, sports history, injury and surgery history, and other information were recorded.

Respiratory functions were measured using a portable spirometer (Otthon Hand-held Spirometer, UK). Measurements were performed in accordance with the current standards of the American Thoracic Society and the European Respiratory Society19.

Postural balance assessment was performed using the Sway Medical Balance App (SMBA). Participants underwent balance testing in five different positions with their eyes closed; a balance score ranging from 0 to 100 points was obtained20.

Mental Imagery, mental skills were assessed using the “Mental Training Inventory for Sports”. The inventory consists of 5 subscales and 20 items, scored using a 5-point Likert scale. In the present sample, the inventory demonstrated good internal consistency (Cronbach’s α = 0.87)21.

Visual reaction time was measured using the Human Benchmark web-based test. The average of five trials was recorded in milliseconds (ms)22.

Shooting performance was evaluated based on three series of shots taken from 18 meters according to FITA rules. Three arrows were shot in each series, and points were awarded based on the areas hit23.

Hand grip strength was measured using a Jamar hand dynamometer on the dominant hand. Each participant performed three trials, and the average was recorded in kilograms (kg)24.

Attention performance was assessed using the Burdon Attention Test. Participants were asked to mark specific letters within a limited time; scores were calculated based on the number of correct answers25.

Prothocol

All interventions were conducted Archery Training Center under the supervision of a licensed physiotherapist and a certified archery coach. Participants were allocated to three groups (breathing, imagery, and control) using a sequential assignment method. This approach ensured balanced group sizes while maintaining procedural simplicity.

Training Duration and Frequency: each group trained twice a week for eight weeks, with each session lasting 60 minutes. All groups performed the same warm-up and cool-down exercises. The control group followed only the routine archery-specific physical training, while the other two groups received an additional 15-minute intervention per session.

Imagery Exercise Group: imagery sessions were performed in a quiet, dimly lit room within the training facility, guided by a pre-recorded mental imagery audio prepared according to. Each session consisted of five 3-minute imagery cycles with 30-second rest intervals, lasting approximately 15 minutes. Athletes sat comfortably with eyes closed and mentally rehearsed all 12 standardized steps of the archery technique (stance, draw, anchor, aim, release, follow-through). The content of the mental rehearsal and verbal guidance were identical for all participants.

Breathing Exercise Group: the breathing training was based on the Nadi Shodhana Pranayama (alternate-nostril breathing) method. Sessions were conducted in a 25 ± 2 °C quiet room with participants seated in a relaxed position. The breathing pattern was slow and rhythmic, maintaining equal inspiration and expiration phases. Each session included five repetitions per nostril, repeated cyclically for 15 minutes. The breathing program was progressively structured: during the first two weeks participants practiced single-nostril ventilation, followed by alternate-nostril breathing in weeks 3–8 to improve autonomic control and relaxation.

Statistical analysis

Data analysis was performed using IBM SPSS Statistics 27.0 software. The normality of data distribution was assessed using the Shapiro-Wilk test. Descriptive statistics are presented as mean ± standard deviation (SD) for normally distributed data and as median (min–max) for non-normally distributed data. For analyses within groups, the paired samples t-test was applied for variables meeting parametric assumptions, and the Wilcoxon signed-rank test was applied for those not meeting parametric assumptions. Effect size (Cohen’s d) values were reported for parametric tests. For intergroup comparisons, One-Way ANOVA was applied for variables meeting parametric assumptions, and Welch ANOVA was applied when variance homogeneity was not achieved. The Kruskal–Wallis test was preferred for variables not meeting parametric assumptions. For variables with significant differences, Tukey’s test (after One-Way ANOVA) and Mann–Whitney U test (after Kruskal–Wallis) were applied as post-hoc analyses, respectively. The significance level for within-group comparisons was set at p < 0.05. For the Mann–Whitney U test performed after the Kruskal–Wallis test, the Bonferroni correction was applied, and the significance level was set at p < 0.017.

Ethical Approval

This study was approved by the Istanbul Medipol üniversitesi. Non-Interventional Clinical Research Ethics Committee (Decision No: E-10840098-202.3.02-239, Date: 10.01.2024). Informed consent forms were obtained from all participants prior to their participation in the study. For participants under 18 years of age, written informed consent was obtained from their parents or legal guardians. All study procedures complied with the ethical principles of the Declaration of Helsinki.

Results

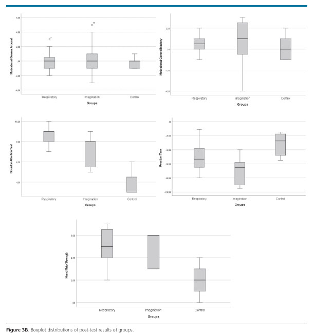
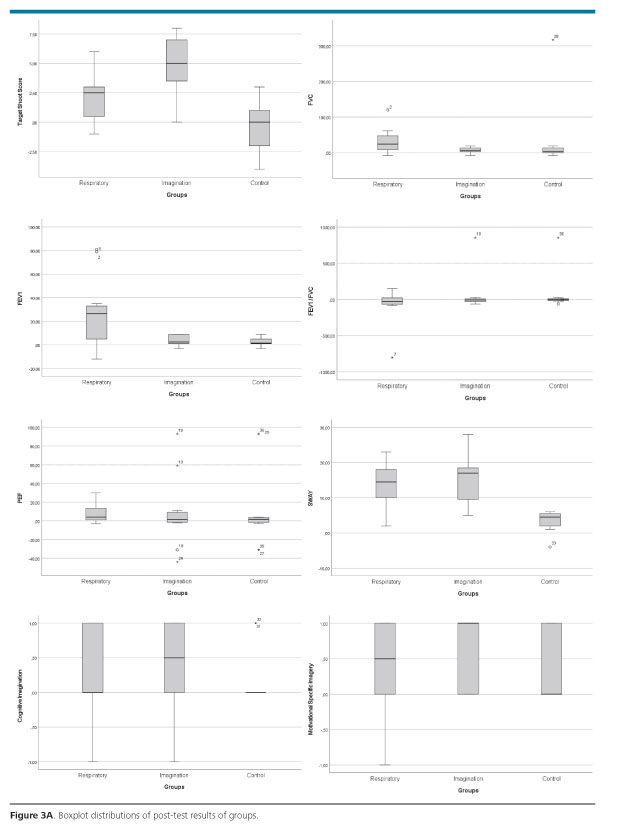
Target shooting scores showed a significant increase in the RG (p = 0.003) and IG (p < 0.001) groups. No significant change was observed in CG (p = 0.508). The FVC variable showed a significant increase in the RG (p = 0.004) and IG (p = 0.021) groups. The difference was not significant in the CG (p = 0.084). Significant improvement in FEV1 levels was observed in the RG (p = 0.009), IG (p = 0.027), and CG (p = 0.016) groups. No significant difference was found in the FEV1/FVC ratio in any of the three groups (p > 0.05). PEF values increased significantly only in the RG group (p = 0.025). SWAY test results improved significantly in the RG (p < 0.001), IG (p < 0.001), and CG (p = 0.008) groups. No significant difference was observed between groups in cognitive imagery scores (p > 0.05). A significant increase in the motivational specific imagery parameter was observed in the IG (p = 0.005) and CG (p = 0.025) groups, while this difference was not statistically significant in the RG group (p = 0.059). Significant increases were observed only in the RG group for the variables of motivational general arousal and motivational general competence (p = 0.046 and p = 0.046, respectively). No significant changes were found in the other groups. Burdon Attention Test results showed significant improvement in all three groups (RG: p < 0.001; IG: p = 0.002; CG: p < 0.001). Reaction time was significantly shorter in both the RG (p < 0.001) and IG (p < 0.001) groups, while a significant decrease was also observed in the CG group (p = 0.002). A significant increase in handgrip strength was found in all groups (RG: p < 0.001; IG: p = 0.002; CG: p < 0.001) (table 1).




Line graphs created to visualize the average changes in the groups based on their pre-test and post-test measurements are presented in figure 2.







Significant differences were observed between groups in terms of target shooting scores (p < 0.001). According to the Tukey post-hoc test, the comparisons between RG-IG (p < 0.001), RG-CG (p < 0.001), and IG-CG (p = 0.001) were found to be significant. No significant differences were observed between groups in terms of motivational general competence (Welch p = 0.418).

According to the Kruskal-Wallis test results; FVC (p = 0.032), FEV1 (p = 0.016), SWAY (p < 0.001), Burdon attention test (p < 0.001), reaction time (p < 0.001), and handgrip strength (p < 0.001) parameters. According to the Mann-Whitney U test results: FVC: A significant difference was observed between RG-IG (p = 0.022) and RG-CG (p = 0.032). The difference between the IG-CG groups is not significant (p = 0.466). FEV1: comparisons between RG-IG (p = 0.014) and RG-CG (p = 0.014) were significant, while there was no significant difference between IG-CG (p = 0.811). SWAY: comparisons between RG-CG and IG-CG were significant (p < 0.001); no difference was found between RG-IG groups (p = 0.562). Burdon Attention Test: all group comparisons were significant (RG-IG: p = 0.018, RG-CG and IG-CG: p < 0.001). Reaction time: based on the results of RG-IG (p = 0.032), RG-CG (p = 0.060), and IG-CG (p < 0.001), the IG-CG difference is significant. Handgrip strength: differences between RG-CG (p = 0.001) and IG-CG (p = 0.001) were found to be significant; the difference between RG-IG was not significant (p = 0.720). No significant differences were observed between groups in FEV1/FVC, PEF, cognitive imagery, motivational specific imagery, and motivational general arousal variables (p > 0.05) (table 2).




Figure 3 shows the distributions of the post-test results for the groups visualized with boxplot graphs.







Discussion

Analysis conducted in the literature between groups with different skill levels has shown that elite archers tend to be more balanced than novice archers26. Another study has proven that among elite archers, shooting scores are higher when body sway is minimized27. These findings emphasize that balance control is a decisive factor in archery performance. Our study also yielded results consistent with this literature. Intra-group analyses revealed significant improvements in SWAY measurements across all groups. This indicates that the interventions applied (breathing exercises and mental imagery techniques) have a direct positive effect on postural control. Furthermore, intergroup comparisons showed that both the breathing exercise group and the mental imagery group demonstrated statistically significant greater improvement compared to the control group. These results are consistent with previous studies showing that regularly applied breathing and mental imagery techniques can increase postural stability. Such holistic intervention approaches, which support balance performance, particularly in athletes, are considered an effective tool for optimizing physical performance due to their effects on motor control and proprioceptive perception.

Archers generate up to approximately 16 kg of force when drawing the bowstring during shooting, and claw-type hand grip strength is effectively used in this process. Therefore, hand grip strength is considered a key component of performance in terms of shooting stability and accuracy. The literature shows that 8-week wrist strengthening programs in male archers result in shorter visual and auditory reaction times, increased hand grip strength, and improved accuracy28. These findings reveal that developing upper extremity muscle capacity has significant effects on motor response time and target accuracy. Similarly, in our current study, statistically significant improvements were observed in handgrip strength and reaction time parameters in all groups. Intra-group analyses show that both breathing exercises and mental imagery interventions had positive effects on these physical parameters. Furthermore, in between-group comparisons, both the imagery group and the breathing group showed significantly greater improvement compared to the control group. These results indicate that breathing and mental imagery techniques may be effective not only on psychological factors but also on physical performance components such as motor control and peripheral muscle strength. It is known that mental training, in particular, supports learning and performance output at the central nervous system level by activating neural circuits related to a motor task11. In this context, the intervention programs applied in our study can be considered holistic approaches with the potential to improve both physical capacity and reaction speed.

Imagery is defined as a form of mental training in which an individual consciously and systematically recreates a situation, movement, or goal in their mind, and it is widely used in sports psychology. The literature reports that imagery applications are effective in improving motor performance and that these mental processes are processed by the nervous system in a manner similar to actual physical experiences10,11. This allows athletes to both mentally rehearse technical movements and develop psychological resilience against stress factors they may encounter during competition12,29. In our study, consistent with these findings, statistically significant improvements were observed in the imagery group in many parameters such as reaction time, balance, and handgrip strength. However, in between-group analyses, the superiority of the imagery group over the control group was not found to be statistically significant. This suggests that imagery produces beneficial results at the individual level, but longer-term protocols may be required for significant differences to emerge in group comparisons. Indeed, previous studies emphasize that the effects of imagery are sensitive to frequency, duration, and level of individual participation30,31.

It is known that increased cognitive load also causes some changes at the physiological level. The literature reports that with increased cognitive stress, there is a decrease in end-tidal carbon dioxide levels and, consequently, hyperventilation14. Hyperventilation can negatively affect performance in sports that require high stability, such as archery. In particular, an increase in unwanted micro-movements in the hand known as the “push hand” during breathing in the shooting position can reduce accuracy, making high-scoring shots more difficult. Therefore, archers are advised to hold their breath during shooting, which requires a high level of functional respiratory capacity10. In our study, a statistically significant increase in the FVC parameter was observed in the respiratory group participants. Although the difference between groups was not significant for FVC, it was found that the respiratory group demonstrated significantly higher performance compared to other groups in terms of FEV₁ values. These findings suggest that regular respiratory exercises can be considered not only as a means to increase physiological capacity but also as a complementary method that supports athletic performance. This result, in line with previous studies, indicates that regular respiratory exercises have positive effects on the respiratory functions of archers and can contribute to their performance.

Although participants were randomly assigned to groups, minor baseline discrepancies were noted in certain respiratory and cognitive parameters. Due to the small sample size and violation of normality assumptions, statistical procedures controlling for baseline variability (e.g., ANCOVA or mixed-model ANOVA) could not be applied. Therefore, residual baseline differences may have introduced potential bias in the estimation of between-group effects and should be considered when interpreting the results

Conclusions

In this study, significant improvements were observed in postural control, reaction time, and handgrip strength across all groups, with greater gains noted in the intervention groups compared to controls. Moreover, respiratory training led to measurable enhancements in pulmonary function, particularly FEV₁, while imagery training supported improvements in attention, balance, and reaction speed.

These findings suggest that structured non-pharmacological interventions such as controlled breathing and visualization may serve as effective complementary strategies to optimize performance in archery. By addressing both neuromuscular and cognitive components, such approaches can enhance athletes’ stability, accuracy, and resilience under pressure. Future research with larger sample sizes, longer intervention durations, and follow-up assessments is recommended to further elucidate the long-term benefits and underlying mechanisms of these integrative training methods.

Conflicts of interest. The authors declare that there are no conflict of interest.

Authors’ contributions. Conceptualization, CK, ANTVDB; methodology, CK, ANTVDB; software, CK, ANTVDB; formal analysis, CK; investigation, CK, ANTVDB; resources, CK, ANTVDB; data curation, CK; writing, original draft preparation, CK; writing, review and editing, CK, ANTVDB; supervision, CK, ANTVDB; project administration, CK, ANTVDB. All authors have read and agreed to the published version of the manuscript.

Acknowledgments. The authors would like to thank ChatGPT (OpenAI) for its assistance in language editing and grammar corrections during the preparation of this manuscript.

References

1. Kolayis İ, Emel M. The effects of heart rate and aiming time on performance in Turkish National Archery Team. International Journal of Human Sciences 05/01 2008; 5.

2. An H-S. Effects of balance and kinematic factors on archery score during archery shooting. Journal of the Korea Convergence Society 2018; 9: 239-46.

3. Savvides A, Giannaki CD, Vlahoyiannis A, Stavrinou PS, Aphamis G. Effects of dehydration on archery performance, subjective feelings and heart rate during a competition simulation. J Funct Morphol Kinesiol 2020; 5.

4. Hagio K, Obata H, Nakazawa K. Effects of breathing movement on the reduction of postural sway during postural-cognitive dual tasking. PLoS One 2018; 13: e0197385.

5. Spratford W, Campbell R. Postural stability, clicker reaction time and bow draw force predict performance in elite recurve archery. Eur J Sport Sci 2017; 17: 539-45.

6. Ben-Zeev T, Shoenfeld Y, Hoffman JR. The effect of exercise on neurogenesis in the brain. Isr Med Assoc J 2022; 24: 533-8.

7. Zhang W, Wang X, Li X, et al. Effects of acute moderate-intensity aerobic exercise on cognitive function in E-athletes: a randomized controlled trial. Medicine (Baltimore) 2023; 102: e35108.

8. Öcal Kaplan D. Evaluating the relation between dominant and non-dominant hand perimeters and handgrip strength of basketball, volleyball, badminton and handball athletes. International Journal of Environmental & Science Education 2016; 11: 3297-3309.

9. Critchley HD, Nicotra A, Chiesa PA, et al. Slow breathing and hypoxic challenge: cardiorespiratory consequences and their central neural substrates. PLoS One 2015; 10: e0127082.

10. Yachsie B, Suharjana S, Graha A, Prasetyo Y, Nasrulloh A, Suhasto S. Mental training to improve the 40-meter-distance archery accuracy with imagery and meditation methods. International Journal of Human Movement and Sports Sciences 2023; 11: 450-6.

11. Robin N, Dominique L. Mental imagery and tennis: a review, applied recommendations and new research directions. Movement and Sports Sciences - Science et Motricite 07/22 2022.

12. Cumming J, Quinton M. Improving the reporting of sport imagery interventions with TIDieR. Asian Journal of Sport and Exercise Psychology 07/01 2022; 2.

13. Pei X, Xu G, Zhou Y, et al. A simultaneous electroencephalography and eye-tracking dataset in elite athletes during alertness and concentration tasks. Sci Data 2022; 9: 465.

14. Borms D, Cools A. Upper-extremity functional performance tests: reference values for overhead athletes. Int J Sports Med 2018; 39: 433-41.

15. Çeyiz S. Interactions between globalization and sports. International Journal of Science Culture and Sport 07/01 2014; 2: 487.

16. Teixeira A, Oliveira A, Rodrigues N, et al. Reference values, intrarater reliability, and measurement error for the closed kinetic chain upper extremity stability test and upper quarter y balance test in young adults. Motriz: Revista de Educação Física 01/01 2022; 28.

17. Ciğercioğlu NB, Guney Deniz H, Ünüvar E, Çolakoğlu FF, Baltacı G. Adolesan Tenis Oyuncularında Omuz Rotator Kas Kuvveti ile Üst Ekstremite Performans Testleri Arasındaki İlişki. Relationship between shoulder rotator muscle strength and upper extremity performance tests in adolescent tennis players. Türk Fizyoterapi ve Rehabilitasyon Dergisi 2021; 32: 89-96.

18. Bayrak A, Ün Yıldırım N. Grekoromen ve Serbest Stil Güreşçilerde Alt ve Üst Ekstremite Y Denge Test Skorlarının Karşılaştırılması. Comparison of lower and upper extremity y balance test scores of greco-roman and freestyle wrestlers. SPORMETRE Beden Eğitimi ve Spor Bilimleri Dergisi 2021; 19: 65-78.

19. Graham BL, Steenbruggen I, Miller MR, et al. Standardization of Spirometry 2019 Update. An Official American Thoracic Society and European Respiratory Society Technical Statement. Am J Respir Crit Care Med 2019; 200: e70-e88.

20. Mummareddy N, Brett BL, Yengo-Kahn AM, Solomon GS, Zuckerman SL. Sway Balance Mobile Application: Reliability, Acclimation, and Baseline Administration. Clin J Sport Med 2020; 30: 451-7.

21. Yarayan YE, İlhan EL. Sporda Zihinsel Antrenman Envanteri’nin (SZAE) Uyarlama Çalışması. The Sport Mental Training Questionnaire (SMTQ) Adaptation Study. Gazi Journal of Physical Education and Sport Sciences 2018; 23: 205-18.

22. Ersin A, Tezeren H, Asal B, Atabey A, Diri A, Gonen İ. The relationship between reaction time and gaming time in e-sports players. Kinesiology 01/01 2022; 54: 36-42.

23. 23.World Archery Federation (FİTA). Archery. Accessed 30.05.2025, https://worldarchery.org/Target-Archery#INDOOR

24. Osailan A. The relationship between smartphone usage duration (using smartphone’s ability to monitor screen time) with hand-grip and pinch-grip strength among young people: an observational study. BMC Musculoskelet Disord 2021; 22: 186.

25. Yiğiter K. Assertivenes, Attention and the Relationship between Swimming Training and Them. Atılganlık, Dikkat ve Yüzme Eğitimi ile Aralarındaki İlişki. OPUS International Journal of Society Researches 2021; 18: 3066-81.

26. Simsek D, Cerrah AO, Ertan H, Soylu AR. A comparison of the ground reaction forces of archers with different levels of expertise during the arrow shooting. Science & Sports 2019/04/01/ 2019; 34: e137-e145.

27. Sarro KJ, Viana TC, De Barros RML. Relationship between bow stability and postural control in recurve archery. Eur J Sport Sci 2021; 21: 515-20.

28. Çelikel BE, Sezer SY, Karadağ M. Erkek Okçularda Reaksiyon Süratinin Hedef Atış İsabet Puanına Etkisi. Investıgation of the Effect of Reaction Time to Target Hit Score in the Men Archery. Spor Eğitim Dergisi 2020; 4: 30-42.

29. DeSantis B, Deck S, Hall C, Roland S. Why do singers use imagery? Research Studies in Music Education 04/19 2022; 44: 1321103X2210819.

30. Dai B, Layer J, Vertz C, et al. Baseline Assessments of Strength and Balance Performance and Bilateral Asymmetries in Collegiate Athletes. J Strength Cond Res 2019; 33: 3015-29.

31. Kılıç RT, Uysal E, Toraman Karagülmez A, et al. Alt Ekstremite Yaralanması Geçirmiş Sporcularda Kullanılan Denge Testleri: Sistematik Derleme. Balance Tests Used in Athletes with Lower Extremity Injuries: A Systematic Review. Adnan Menderes Üniversitesi Sağlık Bilimleri Fakültesi Dergisi 2024; 8: 103-15.